近年来,随着世界各国对环境保护的重视以及能源的合理利用,传统的船用燃油、燃煤动力系统陆续更新为LNG动力系统,或者二者轮次使用的双燃料系统。因此,生产LNG燃料罐的企业和燃料罐的产量逐渐增多,作为LNG燃料罐的主要受压件——封头,需求量也有所增加。我公司为了顺应潮流,占得先机,陆续进行了中国船级社(CCS)、挪威-德国船级社(DNVGL)、美国船级社(ABS)、法国船级社(BV)等船级社的工厂认可。 
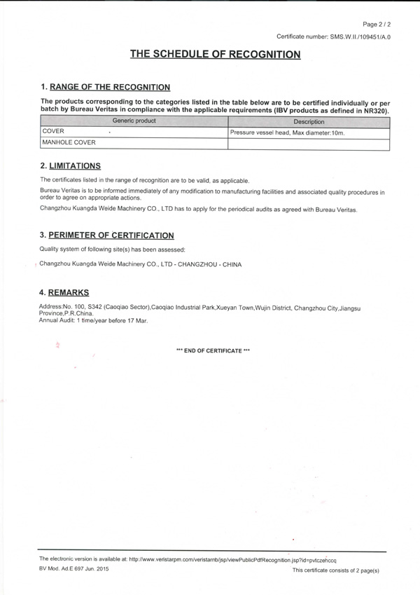
船级社工厂认可主要包括以下工作:工厂基本能力及资源调查、质量管理体系审核、焊接人员资格评审、焊接工艺评定见证、产品制造过程核查、试验见证、最终产品检验等。近半年来,通过验船师认真细致工作、我公司相关部门和人员的积极配合,近日终于取得了法国(BV)船级社的工厂认可证书。

法国船级社是成立于1828年的欧洲老牌船级社,在欧洲和全世界都有相当的地位。也是国际船级社协会(IACS)初始会员之一,世界领先的检验认证集团之一。法国船级社的业务已经拓展到质量、健康与安全、环境和社会责任多个领域,在船舶入级与检验、体系认证、国际进出口商检、社会责任审核、消费品测试、工业建筑与基础设施、核安全等多个领域均处于世界领先地位。其入级的船舶遍布全世界。 法国(BV)船级社工厂认可资格的获得,使我公司产品能运用其中,再次意味着威德封头已经真正走向了世界。
|